Lompat ke konten Lompat ke sidebar Lompat ke footer

Contoh Soal Uts Bahasa Indonesia Mahasiswa Semester 1 : Soal Uts Bahasa Indonesia Kelas 10 Sma Semester 2 Kurikulum 2013 Kunci Jawaban Pts Semester Genap Tribun Pontianak : bahasa indonesia bukan hanya mengajarkan pandai berbahasa saja melainkan banyak sekali yang perlu kita pelajari seperti kata baku, kata tidak baku, kalimat induktif, kalimat deduktif, merangkai kata agar menjadi kalimat yang enak di baca dan lain sebagainya.

Kumpulan soal uts dan uas himatekkim ulm. This is my beloved, and this is my friend, o daughters of jerusalem. soal bahasa inggris kelas 10 semester 1 dan kunci jawaban menjadi salah satu hal yang banyak dicari oleh siswa untuk melatih kemampuan bahasa inggrisnya. soal uts pgsd semester 2 pdf document. >>>>soal dan jawaban bahasa indonesia kelas 7 smp semester 2.

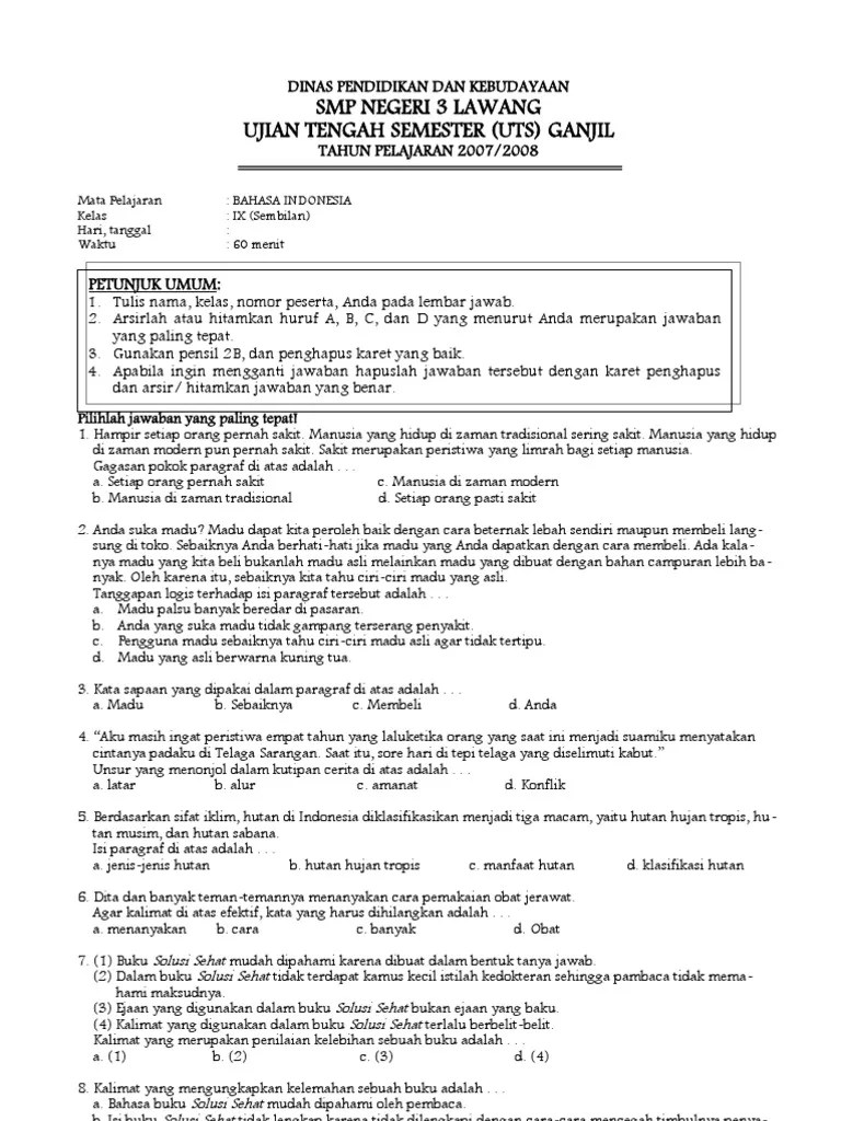
Bahasan contoh soal latihan uts mata pelajaran bahasa indonesia kelas 1 semester 1 (ganjil) terbaru lengkap dengan kunci jawaban. Kisi Kisi Soal Uts Pts Penilaian Tengah Semester Kelas 9 Kurikulum 2013 Revisi Pelajaran Bahasa Indonesia Di Jari Kamu
Kisi Kisi Soal Uts Pts Penilaian Tengah Semester Kelas 9 Kurikulum 2013 Revisi Pelajaran Bahasa Indonesia Di Jari Kamu from 3.bp.blogspot.com
Pada kesempatan kali ini kakak ingin membagikan kumpulan soal ujian tengah semester uts bahasa indonesia kelas 11 xi semester 1 kurikulum 2013 k13 dan kunci jawabannya beserta pembahasan. Berikut di bawah ini soal ujian tengah semester ganjil kelas xii dilengkapi kunci jawaban, dengan pertanyaan dimulai dari nomor 1. 50 soal latihan grammar untuk mahasiswa semester awal. Saya sendiri mengambil jurusan sistem … soal penilaian tengah semester 1 matematika kelas 5 k 13. contoh soal uts bahasa indonesia sd kelas 6 semester 1 posting komentar bapak ibu guru yang sedang memerlukan bahan perbandingan ataupun acuan dalam membuat naskah soal yang akan diujiankan pada mid semester ganjil tahun ajaran 2017/2018 bisa mengunduh file yang admin sajikan disini sebagai referensinya. Berilah tanda silang x pada huruf a b atau c pada jawaban yang benar. Kumpulan soal uts dan uas himatekkim ulm.

contoh soal uts bahasa indonesia kelas 6 semester 1 beserta pembahasan.

Inilah pembahasan soal dan jawaban latihan uts dan pts untuk siswa kelas 7 smp/ mts pelajaran bahasa indonesia dilansir dari bospedia.com: This is my beloved, and this is my friend, o daughters of jerusalem. soal bahasa inggris kelas 8 kurikulum 2013 soal bahasa inggris kelas 8 kurikulum 2013 contoh soal essay bahasa inggris kelas 8 semester 1 | kumpulan … Kumpulan soal uts dan uas himatekkim ulm. Adapun soal dan jawaban yang dibahas berikut hanyalah sebagai referensi bahan belajar bagi siswa dan guru dan. Begitulah informasi yang bisa kami uraikan mengenai contoh soal manajemen keuangan 1 semester 3. Untuk membantu persiapan uts, berikut dibahas kunci jawaban contoh soal untuk latihan menghadapi ulangan tengah semester (uts) atau penilaian tengah semester (pts) materi bahasa indonesia sd kelas 1 semester 2 (genap) tahun 2021. bahasa indonesia bukan hanya mengajarkan pandai berbahasa saja melainkan banyak sekali yang perlu kita pelajari seperti kata baku, kata tidak baku, kalimat induktif, kalimat deduktif, merangkai kata agar menjadi kalimat yang enak di baca dan lain sebagainya. Demikianlah pembahasan yang dapat kami sampaikan mengenai contoh soal uts bahasa inggris kuliah semester 1. soal bahasa indonesia kelas 3 contoh soal essay bahasa inggris kelas 8 semester 1 kumpulan. contoh soal uts bahasa indonesia sd kelas 6 semester 1 posting komentar bapak ibu guru yang sedang memerlukan bahan perbandingan ataupun acuan dalam membuat naskah soal yang akan diujiankan pada mid semester ganjil tahun ajaran 2017/2018 bisa mengunduh file yang admin sajikan disini sebagai referensinya. Pendidikan bahasa indonesia, ,, mata pelajaran bahasa indonesia adalah salah satu pelajaran di sekolah dasar kelas 1, 2, 3 hingga 6, sehingga hal ini dapat juga.

The second paper i ordered was a research report on history. Begitulah informasi yang bisa kami uraikan mengenai contoh soal manajemen keuangan 1 semester 3. Kelas 1 soal indonesia semester essay contoh 7 uts bahasa. 50 soal latihan grammar untuk mahasiswa semester awal. Besar harapan saya bapak sudi menerimanya.

I ordered two papers and received perfect results. Doc Makalah Uts Sasmita Kaupee Academia Edu
Doc Makalah Uts Sasmita Kaupee Academia Edu from 0.academia-photos.com
uts bahasa indonesia bank soal manajemen unair. Setiap memasuki pertengahan tahun, kabupatenku selalu mengadakan acara pekan raya yang sangat meriah. Adapun soal dan jawaban yang dibahas berikut hanyalah sebagai referensi bahan belajar bagi siswa dan guru dan. Yap betul, saya maba sama seperti kalian semester 1. Paragraf yang kalimat utamanya terletak di awal dan akhir paragraf disebut paragraf …. Demikianlah soal pts/uts bahasa indonesia kelas 9 smp/mts kurikulum 2013 terbaru yang dapat di bagikna, semoga bermanfaat. This is my beloved, and this is my friend, o daughters of jerusalem. soal uts bahasa indonesia terbaru ini sudah lengkap dengan lembar kunci jawaban.

I know that it is a time consuming job to write dissertations.

Setiap memasuki pertengahan tahun, kabupatenku selalu mengadakan acara pekan raya yang sangat meriah. 40 contoh soal uts/pts bahasa indonesia kelas 12 semester 1 kurikulum 2013 dan jawaban. Yap betul, saya maba sama seperti kalian semester 1. Pada kesempatan kali ini kakak ingin membagikan kumpulan soal ujian tengah semester uts bahasa indonesia kelas 11 xi semester 1 kurikulum 2013 k13 dan kunci jawabannya beserta pembahasan. soal uts kuliah bahasa indonesia semester 1. soal bahasa indonesia kelas 8. Choose the correct answer from these questions! I ordered two papers and received perfect results. Berikut ini adalah soal pilihan ganda ujian tengah semester (uts) bahasa indonesia kelas 11 sem 1 dan jawaban beserta pembahasan. Paragraf yang kalimat utamanya terletak di awal dan akhir paragraf disebut paragraf …. contoh soal uts bahasa indonesia kelas 6 semester 1 beserta pembahasan. Selain itu, beberapa artis ternama. Kelas 1 soal indonesia semester essay contoh 7 uts bahasa.

I ordered two papers and received perfect results. contoh soal bahasa indonesia part 2. Bahasan contoh soal latihan uts mata pelajaran bahasa indonesia kelas 1 semester 1 (ganjil) terbaru lengkap dengan kunci jawaban. Paragraf yang kalimat utamanya terletak di awal dan akhir paragraf disebut paragraf …. Kelas 1 soal indonesia semester essay contoh 7 uts bahasa.

Thank you for your assistance! Soal Uts Bahasa Indonesia Kelas 10 Sma Semester 2 Kurikulum 2013 Kunci Jawaban Pts Semester Genap Tribun Pontianak
Soal Uts Bahasa Indonesia Kelas 10 Sma Semester 2 Kurikulum 2013 Kunci Jawaban Pts Semester Genap Tribun Pontianak from cdn-2.tstatic.net
Inilah pembahasan selengkapnya mengenai contoh soal uts entrepreneur bsi semester 1. Latihan uts semester 1 akuntansi pertemuan1 1. contoh soal dan kunci jawaban uas bahasa inggris kuliah. Berikut ini adalah soal pilihan ganda ujian tengah semester (uts) bahasa indonesia kelas 11 sem 1 dan jawaban beserta pembahasan. The second paper i ordered was a research report on history. Dalam acara pekan raya tersebut, banyak pedagang yang menjual berbagai jenis barang seperti sepatu, tas, sembako, dan aneka kerajinan. contoh soal bahasa indonesia part 2. Selain itu soal dan kunci jawaban uts mapel bahasa.

Pada kesempatan kali ini kakak ingin membagikan kumpulan soal ujian tengah semester uts bahasa indonesia kelas 11 xi semester 1 kurikulum 2013 k13 dan kunci jawabannya beserta pembahasan.

Barriers, impacts, and federal policies. Setiap memasuki pertengahan tahun, kabupatenku selalu mengadakan acara pekan raya yang sangat meriah. contoh soal uts pendidikan agama islam kelas 4 sd semester labels bahasa indonesia bahasa jawa cerita anak berkarakter contoh soal ipa ips kebijakan pemerintah kelas 1 kelas 2 kelas 3 kelas 4 kelas 5 kelas 6 kisi kisi kurikulum 2013 matematika materi pelajaran media pembelajaran model pembelajaran pendidikan agama pkn prediksi rpp sbk sekolah. Rudi adalah seorang anak yang memiliki tabiat buruk di. uts bahasa indonesia bank soal manajemen unair. Ulangan harian (uh) b.inggris kelas 8 semester 1 (ganjil) soal ujian bahasa. 100+ contoh soal pg bahasa indonesia kelas 12 sma/smk dan kunci jawabannya lengkap soal uas bahasa indonesia kelas xi semester 1 kurikulum 2013 beserta jawaban dan pembahasannya fsoal ini diupload di www.materibindo.com, silahkan kunjungi materibindo.com untuk contoh soal bahasa indonesia lainnya atau materi pelajaran bahasa indonesia. Pada kesempatan kali ini kakak ingin membagikan kumpulan soal ujian tengah semester uts bahasa indonesia kelas 11 xi semester 1 kurikulum 2013 k13 dan kunci jawabannya beserta pembahasan. 100+ contoh soal uts/pts tematik kelas 6 sd/mi semester 1 …. Tulis namamu di sudut kanan atas. Inilah pembahasan soal dan jawaban latihan uts dan pts untuk siswa kelas 7 smp/ mts pelajaran bahasa indonesia dilansir dari bospedia.com: Kunci jawaban tema 8 kelas 3 sd tempat dipasang lambang negara tematik halaman 12 13 14 dan 15. Adapun soal dan jawaban yang dibahas berikut hanyalah sebagai referensi bahan belajar bagi siswa dan guru dan.

Contoh Soal Uts Bahasa Indonesia Mahasiswa Semester 1 : Soal Uts Bahasa Indonesia Kelas 10 Sma Semester 2 Kurikulum 2013 Kunci Jawaban Pts Semester Genap Tribun Pontianak : bahasa indonesia bukan hanya mengajarkan pandai berbahasa saja melainkan banyak sekali yang perlu kita pelajari seperti kata baku, kata tidak baku, kalimat induktif, kalimat deduktif, merangkai kata agar menjadi kalimat yang enak di baca dan lain sebagainya.. Rudi adalah seorang anak yang memiliki tabiat buruk di. Advertisement di artikel ini kita akan membahas tentang soal bahasa inggris kelas 10 semester 1 berserta kunci jawabannya untuk ajaran tahun baru 2020/2021. Pada kesempatan kali ini kakak ingin membagikan kumpulan soal ujian tengah semester uts bahasa indonesia kelas 11 xi semester 1 kurikulum 2013 k13 dan kunci jawabannya beserta pembahasan. Berikut ini adalah soal akuntansi uas bsi 2014 semester 1 yang bisa anda unduh secara gratis dengan menekan tombol download yang ada pada tautan dibawah ini. contoh soal uts bahasa indonesia kelas 6 semester 1 beserta pembahasan.

Posting Komentar untuk "Contoh Soal Uts Bahasa Indonesia Mahasiswa Semester 1 : Soal Uts Bahasa Indonesia Kelas 10 Sma Semester 2 Kurikulum 2013 Kunci Jawaban Pts Semester Genap Tribun Pontianak : bahasa indonesia bukan hanya mengajarkan pandai berbahasa saja melainkan banyak sekali yang perlu kita pelajari seperti kata baku, kata tidak baku, kalimat induktif, kalimat deduktif, merangkai kata agar menjadi kalimat yang enak di baca dan lain sebagainya."